Mobile Reduce icon

Mobile Reduce

1.3 for Android
3.0 | 10,000+ Installs

Mohamad Akko

Description of Mobile Reduce

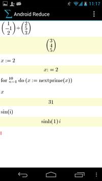
An algebra calculator for your phone, powerful algebra, simple interface, natural math display! This calculator is powered by the REDUCE algebra system (www.reduce-algebra.com)
[Features]
• Simple arithmetic ( - * /)
• Simplification of expressions
• Expression factorization
• Numerous functions (trig, hyperbolic, log, factorial etc…)
• Complex numbers
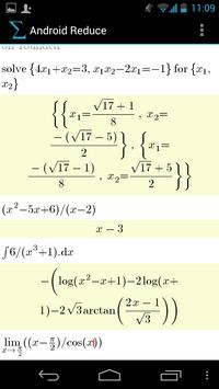
• Differentiation and integration.
• Big sum and big product
• Limits
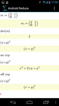
• Variable initialization (m := 2)
• Manipulation of polynomial equations
• Solving simultaneous and polynomial equations
• Matrices
• Vectors
• For loops
[Notes about the User interface]
1 - Press "num"/"sym" to change between symbolic (3/2) and numeric (1.5) modes.
2 - Press "M.." followed by the desired width and height (maximum 5) to create a matrix.
3 - Set the precision of the numeric mode using the "precision" function.
4 - Hide and bring back the keyboard using the "Toggle Keyboard" menu option.
[History]
This calculator was created as part of an undergraduate final year project in the university of Cambridge.
If you are a REDUCE expert and prefer to use REDUCE directly, you can try the text version made available thanks to Mr. Dieter Egger.
https://play.google.com/store/apps/details?id=de.dieteregger
[Call for Help]
If you have any comments, or (better yet!) if you are an Android developer and would like to find out if you can help with this app please drop an email to Ahmad Akra (ahmadakra1990@gmail.com)
A copy of the source code is found here: https://dl.dropboxusercontent.com/u/44265477/AndroidReduceMathVersion.rar

What's New with Mobile Reduce 1.3

Supported Holo Theme on Android 3.0
Support for toggling between symbolic and numeric mode
Matrices of various sizes (up to 5x5)
For-loops
Added ability to scroll back to the earliest entry
'Clear Scroll' option
'Hide Keyboard' option
Greek variables
Better display for very large outputs.
Added a few more functions

Information

  • Category:
    Productivity
  • Latest Version:
    1.3
  • Updated:
    2013-05-31
  • File size:
    3.2MB
  • Requirements:
    Android 2.2 or later
  • Developer:
    Mohamad Akko
  • ID:
    uk.ac.cam.aa582