Exam P Quick Notes icon

Exam P Quick Notes

2.3 for Android
4.7 | 5,000+ Installs | Reviews

Thomas Hodges

Description of Exam P Quick Notes

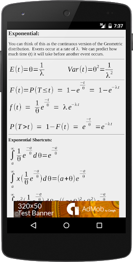
To pass the first actuary exam, SOA exam P, you need to be an expert in 9 probability distributions.
Compiled here is the most vital information on each of those distributions, Keep this app on your telephone screen while working practice problems to simplify the process of finding the formulas for the expected value, variance, and where applicable pdf, pmf, cdf and moment generating function.
Each distribution has a short description of it's use.
Contains shortcuts for exponential and gamma distributions.
The Pro version of this app is presented ad-free and may be more suitable for a professional or classroom environment.
Distributions covered:
* Bernoulli
* Geometric
* Hypergeometric
* Exponential
* Poisson
* Binomial
* Negative Binomial
* Uniform
* Gamma
Feel free to email me with any questions or comments on this app, or additional material that you would like to see covered.

What's New with Exam P Quick Notes 2.3

Updated to run on Android Nougat.

Information

  • Category:
    Education
  • Latest Version:
    2.3
  • Updated:
    2016-11-21
  • File size:
    2.8MB
  • Requirements:
    Android 4.0 or later
  • Developer:
    Thomas Hodges
  • ID:
    com.tutorillinois.android.exampquicknotes
  • Available on:
Reviews
  • avatar
    under the exponential notes, when X and Y are independent, P(X<Y), I think the denominator should be lambda X + lambda Y, cos when you multiply, u will get an answer greater than 1, which shouldn't be so.. apart from that, this app is very great, it's simple and easy to learn, it covers most important stuff.👍
    2019-07-02 12:11
  • avatar
    This app only helps you if you need to remember the formula.
    2018-03-22 12:13
  • avatar
    great
    2015-09-26 11:43
  • avatar
    These notes are veryyyyyyy useful. They give me hope :D
    2015-09-17 03:52