Test FalsePositive icon

Test FalsePositive

1.0 for Android
3.0 | 5,000+ Installs

SimpleAppDevelopments

⚠️ You need 9Apps App to install .XAPK File. How to install XAPK?

Description of Test FalsePositive

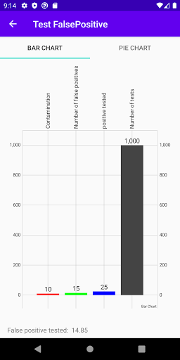
This app calculates the false positive rate of tests. The false-positive rate of a test means that not all tests with a positive result are actually positive in a test series, but are rated incorrectly due to an error rate of the test.
Explanation
Test scope: Number of tests
Percentage contamination: Degree of prevalence of an endemic infectious disease in a population at a specific point in time.
Sensitivity (sensitivity) of the test: Indicates how many percent of the really positive are actually discovered.
Specificity (accuracy) of the test: Indicates how many percent of the really negative are actually tested negative.

What's New with Test FalsePositive 1.0

Stable release

Information

  • Category:
    Tools
  • Latest Version:
    1.0
  • Updated:
    2020-11-05
  • File size:
    4.0MB
  • Requirements:
    Android 5.0 or later
  • Developer:
    SimpleAppDevelopments
  • ID:
    com.simpleappdev.testfalschpositiv
  • Available on: