Maths Differential Equation Formula Book icon

Maths Differential Equation Formula Book

1.0 for Android
3.0 | 50,000+ Installs

Learn with Quiz

Description of Maths Differential Equation Formula Book

I wants to share an app for all of you. 20,000+ users downloaded Maths Differential Equation Formula Book latest version on 9Apps for free every week! It is the app that defined the best for a generation. This hot app was released on 2018-02-28. I believe that if you are an android apps lover, you would not miss it.
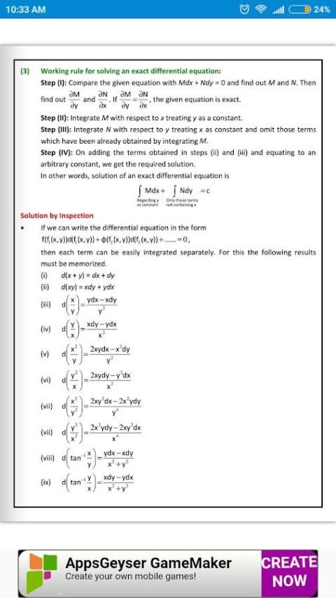
Differential Equation Interactive e-Book for IIT-JEE & other Competitive Exams.
Board: CBSE, GSEB, ICSE, ISC, International Board, Cambridge
Class: 11th - 12th Students, Engineering Students and Medical Students.
Maths (AIEEE, IIT-JEE Main) Differential Equation Interactive e-Book Education application

What's New with Maths Differential Equation Formula Book 1.0

Update New Features and Content..

Information

  • Category:
    Education
  • Latest Version:
    1.0
  • Updated:
    2018-02-28
  • File size:
    13.5MB
  • Requirements:
    Android 4.0 or later
  • Developer:
    Learn with Quiz
  • ID:
    com.wMathsDifferentialEquationFormulaBook_5141867