Calculus made easy icon

Calculus made easy

1.0.2 for Android
4.0 | 10,000+ Installs | Reviews

Sultan global

Description of Calculus made easy

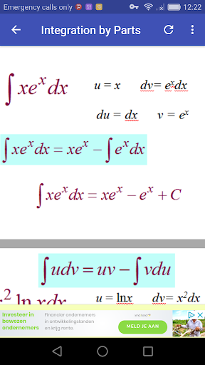
This App teaches you the basics of calculus from the definitions to the application of limits, differential calculus and integral calculus.
This App is not meant to be substitute for textbooks.

What's New with Calculus made easy 1.0.2

Calculus made easy

Information

  • Category:
    Education
  • Latest Version:
    1.0.2
  • Updated:
    2018-12-06
  • File size:
    5.8MB
  • Requirements:
    Android 4.1 or later
  • Developer:
    Sultan global
  • ID:
    com.andromo.dev755099.app869507
  • Available on:
Reviews
  • avatar
    Its just a collection of cards. Not as good as an eBook.
    2020-10-08 10:42
  • avatar
    Starting yet
    2020-07-29 01:16
  • avatar
    I promise to inform you meticulously on my experience.
    2020-07-09 10:49
  • avatar
    Caculus made easy is the best calculus app for it made me 100 percent sure of scoring Alpha's (A1) in any maths & caculus exam . Grab your copy & see calculus made easy! ! !
    2020-01-08 02:28
  • avatar
    Cut offs from some text book. Worse than reading a pdf textbook. With ads! What a rubbish app.
    2019-12-27 03:41
  • avatar
    Awesome
    2019-12-20 04:51