Calculus icon

Calculus

2.0 for Android
3.0 | 10,000+ Installs

CoolMobileApps

Description of Calculus

This app contains all important calculus formulae with solved examples of limit,derivative and integral . It is an offline content. You don't need internet to read calculus formulae and solved calculus examples. This calculus app contains important mathematical equations of limits, differentiation and integration. These basic maths formulas of
limits, differential and integral equations are very important for calculus students.
It touches limit formulas, differentiation formulas, integration formulas as well as solved calculus examples of limit,derivative and integral as follows in this calculus app.
1. Limit
Definition
Properties
Evaluation at Infinity
L’Hospital Rule
2. Derivative
Properties
Polynomials
Trigonometric
Inverse Trigonometric
Hyperbolic
Inverse Hyperbolic
Exponential & Logarithmic
3. Integral
Properties
Polynomial
Trigonometric
Inverse Trigonometric
Algebric
Hyperbolic
Inverse Hyperbolic
Logarithmic & Exponential
Miscellaneous
4. Limit Examples
Exercise-1
Exercise-2
Exercise-3
Exercise-4
Exercise-5
Exercise-6
Exercise-7
Exercise-8
Exercise-9
Exercise-10
Exercise-11
Exercise-12
Exercise-13
Exercise-14
Exercise-15
Exercise-16
Exercise-17
Exercise-18
Exercise-19
Exercise-20
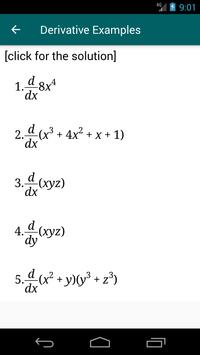
5. Derivative Examples
General
Advanced
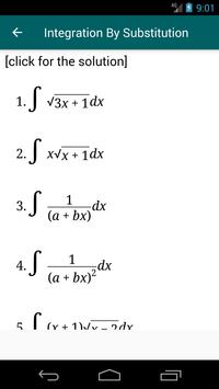
6. Integral Examples
General
Integration By Substitution
Integration By Parts
Definite Integral
Advanced
Please let us know if you have any suggestions/issues. If you want us to include any other calculus formula in this calculus app or any solved examples of limit, Derivative and Integral in this calculus app, then please write us at coolmobileapps1@gmail.com.

Information

  • Category:
    Education
  • Latest Version:
    2.0
  • Updated:
    2019-04-18
  • File size:
    5.4MB
  • Requirements:
    Android 4.0 or later
  • Developer:
    CoolMobileApps
  • ID:
    com.farain.calculus