HiEdu - Physical Formula icon

HiEdu - Physical Formula

1.0.4 for Android
4.4 | 10,000+ Installs

HiEdu Team

Description of HiEdu - Physical Formula

Physical Formulas is very useful physical formulas that serve as a quick reference. You will not forget physical formulas any more. This app is everything you need. Perfect app for college and high school students. You will find everything about physical in it. Regular review of these formulas/concepts will definitely help improve your grades.
1. Mechanics
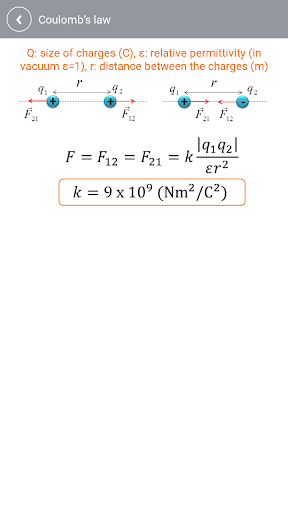
2. Electricity
3. Thermal physics
4. Periodic motion
5. Optics
6. Atomic physics
7. Constants
8. Tools
Developers: C.g team
E-mail: calculator570team@gmail.com@gmail.com
All opinions and suggestions regarding the development of this application write to developer's e-mail.

What's New with HiEdu - Physical Formula 1.0.4

Fix bug download formulas.

Information

  • Category:
    Education
  • Latest Version:
    1.0.4
  • Updated:
    2020-02-23
  • File size:
    2.3MB
  • Requirements:
    Android 4.0.3 or later
  • Developer:
    HiEdu Team
  • ID:
    cg.buta.physicaformula
  • Available on: