Mathforce One - Math app - Learn by doing icon

Mathforce One - Math app - Learn by doing

1.1 for Android
3.0 | 10,000+ Installs

Johan van Leeuwen

Description of Mathforce One - Math app - Learn by doing

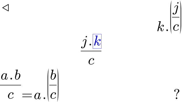
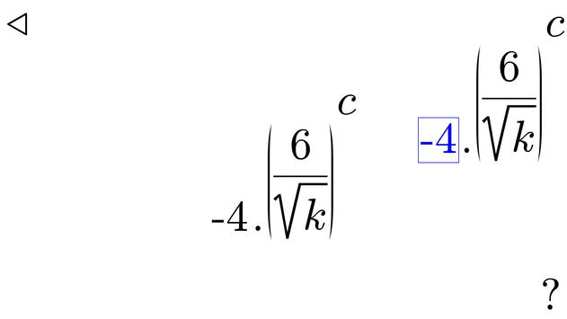
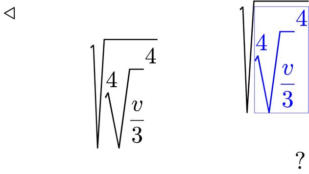
With this app you can practice math by interactively manipulating mathematical expressions . The target expression is given in the upper right corner and the start expression in the center. Can you manipulate the given math expression so that it matches the target expression? New exercises will be added in upcoming updates. Math tutor. Math app. Math apps. This app is in concept status. It is a tryout to see if you like the approach. Please comment.
New levels will be added with updates.

What's New with Mathforce One - Math app - Learn by doing 1.1

Some optimizations

Information

  • Category:
    Educational
  • Latest Version:
    1.1
  • Updated:
    2020-10-11
  • File size:
    979.2KB
  • Requirements:
    Android 4 or later
  • Developer:
    Johan van Leeuwen
  • ID:
    nl.jpvanleeuwen.mathforceone