Tabela integrais. Fórmulas icon

Tabela integrais. Fórmulas

1.0 for Android
4.3 | 10,000+ Instalações

MyAppBook

A descrição de Tabela integrais. Fórmulas

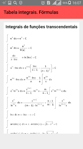
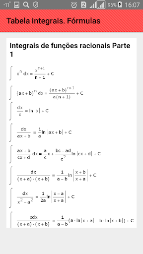
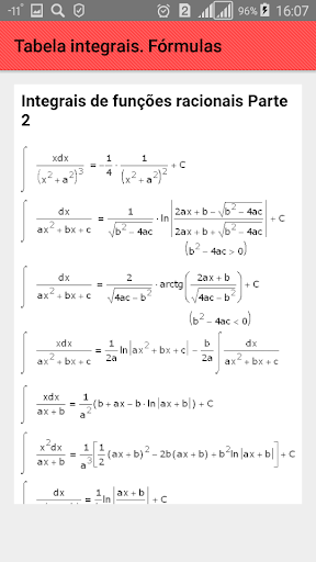
Tabela de integrais - as fórmulas básicas de integrais indefinidas.
Tabela integrais:
- A fórmula básica para a integração
- Integrais de funções racionais Parte
- Integrais de funções transcendentais
- Integrais de funções irracional Parte
- Integrais de funções trigonométricas Parte
- Propriedade de integrais indefinidas
- Propriedade de integrais definidas

Informações

  • Categoria:
    Educação
  • Última versão:
    1.0
  • Atualizada:
    2019-03-21
  • Tamanho:
    2.7MB
  • Requerimentos:
    Android 4.3 or later
  • Desenvolvedor:
    MyAppBook
  • ID:
    ru.myappbook.TabIntegFormul
  • Available on: