Maharashtra State 7 12 Utara أيقونة

Maharashtra State 7 12 Utara

2.0 for Android
3.0 | 10,000+ عمليات التثبيت

Ganador

هذا الوصف ل Maharashtra State 7 12 Utara

No.1 سوق للتطبيقات ،الالعاب& الفيديو مجانية 20,000+ مستحدمين يحملون Maharashtra State 7 12 Utara احدث الاصدار مجانا كل أسبوع في اروع وافضل تطبيق في العالم في انتظارك..9Apps هذه التطبيق الحلوووه تصدر في 2016-11-28 سيطلق التطبيقات الكثيرة مؤخرا،يمكنك تحملها وتشاركها مع أصدقائك..
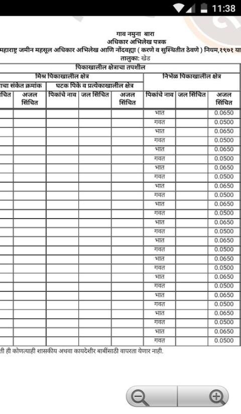
Satbara يحتوي على المعلومات الأساسية مثل الموقع والمساحة واسم المالك القانوني للأرض، عدد المسح، عدد حصة. كما يحتوي Satbara معلومات أخرى مفيدة مثل الذي هو والفلاحة (يمكن أن تكون مختلفة من المالك)، ما محاصيل كانت تزرع، وكيف تم إنتاج الكثير من الكمية، وكيف تم دفع الكثير من الضرائب (shetsara) ويرجع ذلك. ويشمل أيضا إذا كان هناك أي قرض المستحق على الأرض أو إذا كان هناك أي الدعاوى العالقة.
    Khaataa = حساب
    जिल्हा Zilla = منطقة
    तालुका تهسيل / تالوكا = قسم منطقة
    गट क्रमांक جات Kramaank = المنطقة رقم (عدد المسح)
    गट क्रमांकाचा उपविभाग يصل vibhag = القسم الفرعي
    एकूण Ekun = إجمالي
    भूधारणा पध्दती Bhudhaarna Paddhati = نوع من الأرض
    اسم भोगवटदाराचे नांव Bhogavatdaarache Naav = أصحاب
    शेताचे स्थानिक नांव Shetaache Sthaanik Naav = الاسم المحلي للأرض
    जल सिंचित جال seenchit = مياه الري
    seenchit अजल सिंचित اجال = مياه الري
    हंगाम Hangaam = الموسم المحاصيل (على سبيل المثال: الخريف / ربيع)
    पिकाचे नाव Pikache Naav = اسم المحصول (على سبيل المثال: भात رايس / القمح
    लागवडीसाठी उपलब्ध नसलेली जमीन Laagavadisathi Uplabdh Nasleli زامين = أرض لا تتوفر للزراعة
    जल सिंचनाचे साधन جال Seenchnache Saadhan = مصدر الري
    शेरा شيرا = تعليقات / ملاحظات / ملاحظات
    पोटखराब Potkharaab = الأراضي غير القابلة للزراعة
    मालमत्ता Maalmattaa = الأصول
    अधिकार अभिलेख पत्रक Adhikaar Abhilekh Patrak = سجل حقوق
    मिश्र पिका खालील क्षेत्र Mishr Pikakhalil Shetra = المساحة وجود محصول مختلط

المعلومات

  • الفئة:
    الإنتاجية
  • احدث اصدار:
    2.0
  • تحديث:
    2016-11-26
  • حجم الملف:
    3.5MB
  • المتطلبات:
    Android 2.2 or later
  • تم التحديث:
    Ganador
  • ID:
    com.webview.satbaraapp