All Mathematics Formula أيقونة

All Mathematics Formula

1.0 for Android
4.3 | 5,000+ عمليات التثبيت

Pocket Books

هذا الوصف ل All Mathematics Formula

التطبيقات الموبايل بجودة عالية متوافر لتحميل مجاني 20,000+ مستحدمين يحملون All Mathematics Formula احدث الاصدار مجانا كل أسبوع في تتمتع في استخدام هذا التطبيق في الموبايل..9Apps هذه التطبيق الحلوووه تصدر في 2017-11-22 هيا بنا،وقم بتحميل التطبيق الآن..
المواضيع:
-Algebra
-Geometry
التحليلية Geommetry
-المشتق
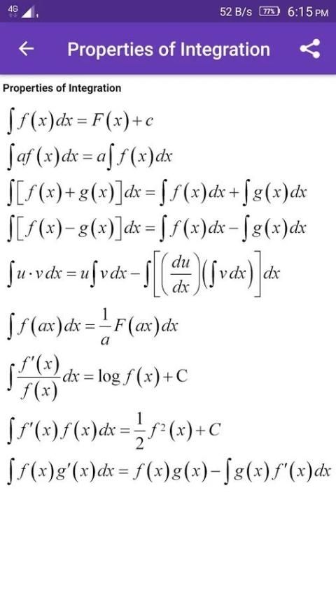
-دمج
-علم المثلثات
-Laplace
-Fourier
-سلسلة
-الطرق العددية
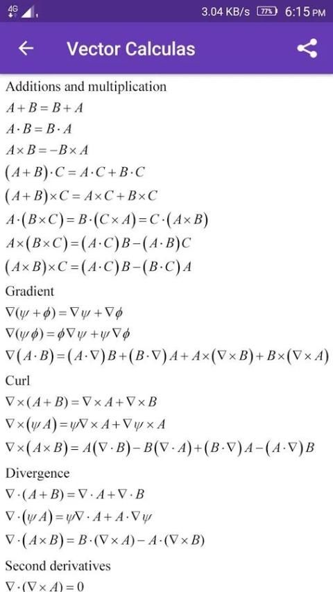
-Vector حساب التفاضل والتكامل
-احتمالا
-Beta غاما
-z تحويل
وتصنف كل thsese المواضيع في الفئة الفرعية وجميع fromula يعطى حول الموضوع.
-------------------------------------------------- ----------------------------------------------
لقد قمنا بتصميم هذا التطبيق بطريقة بسيطة واضحة من أجل أنه يسهل فهمها من قبل الجميع.
تم تصميم هذا التطبيق مع الأخذ في الاعتبار أنه يجب أن يكون من المفيد للطلاب كما لعب رياضيات دورا رئيسيا في جميع فروع الهندسة والتكنولوجيا في جميع أنحاء العالم.
وهذا سوف يساعد بالتأكيد ش التحضير للمقابلات والامتحانات وفي العديد من الطرق
أي زمان ومكان كنت بحاجة إلى أي معلومات عن الرياضيات الصيغة، كنت بعيدا عن بنقرة واحدة فقط ...
حظا سعيدا ... وأنا أرجو أن تنال إعجابكم ...

المعلومات

  • الفئة:
    التعليم
  • احدث اصدار:
    1.0
  • تحديث:
    2017-11-19
  • حجم الملف:
    4.6MB
  • المتطلبات:
    Android 4.0.3 or later
  • تم التحديث:
    Pocket Books
  • ID:
    all.maths.formula.pocketbooks